Fig. 5
From: Modified PCR protocol to increase sensitivity for determination of bacterial community composition

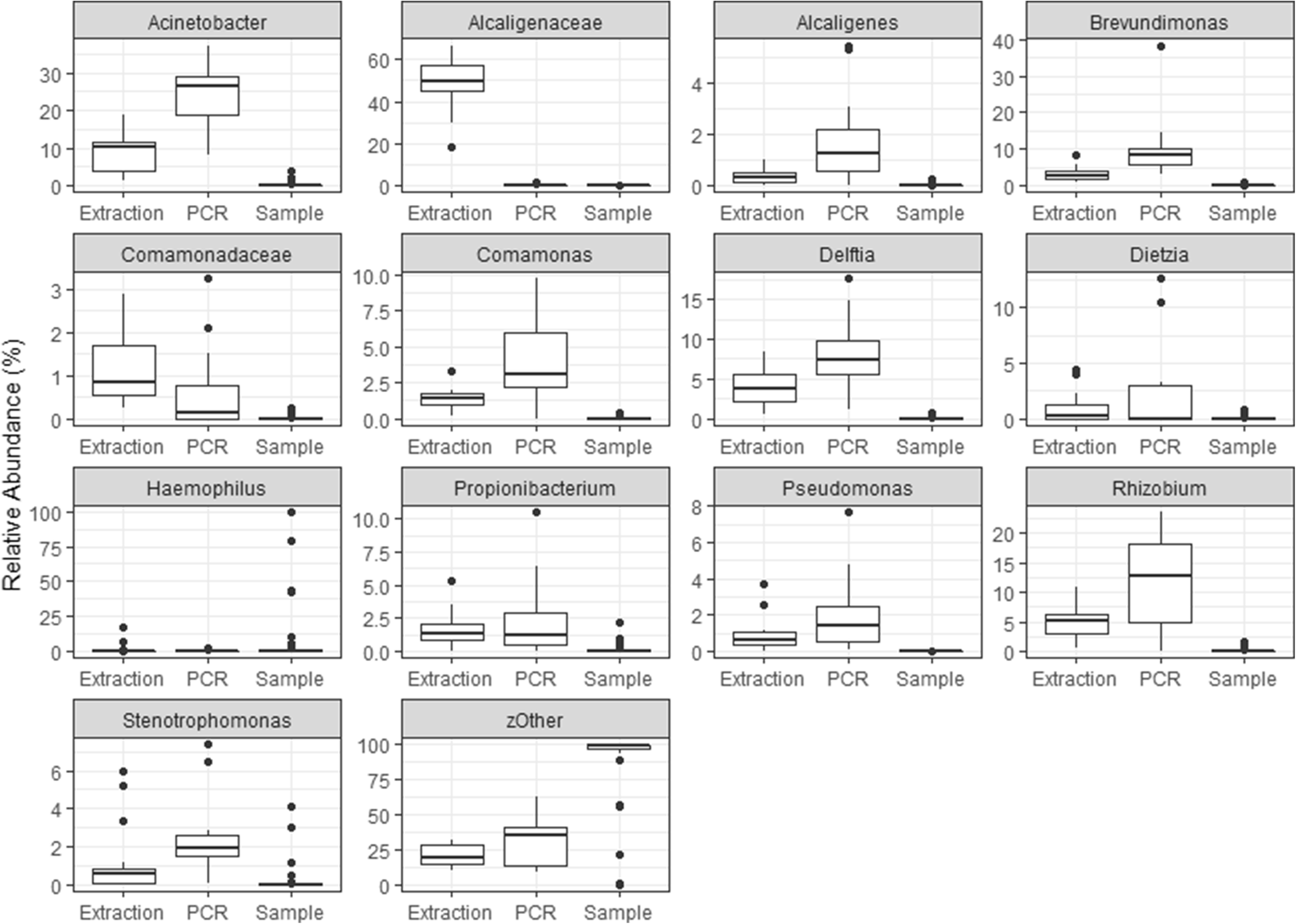
Relative abundance of prevalent taxa within control samples. Boxplots show PCR and extraction controls for each taxon identified along with the distribution of RA from clinical samples. There is limited overlap between controls and clinical samples when comparing RA of these taxa