Fig. 4
From: Gut microbiome composition differences among breeds impact feed efficiency in swine

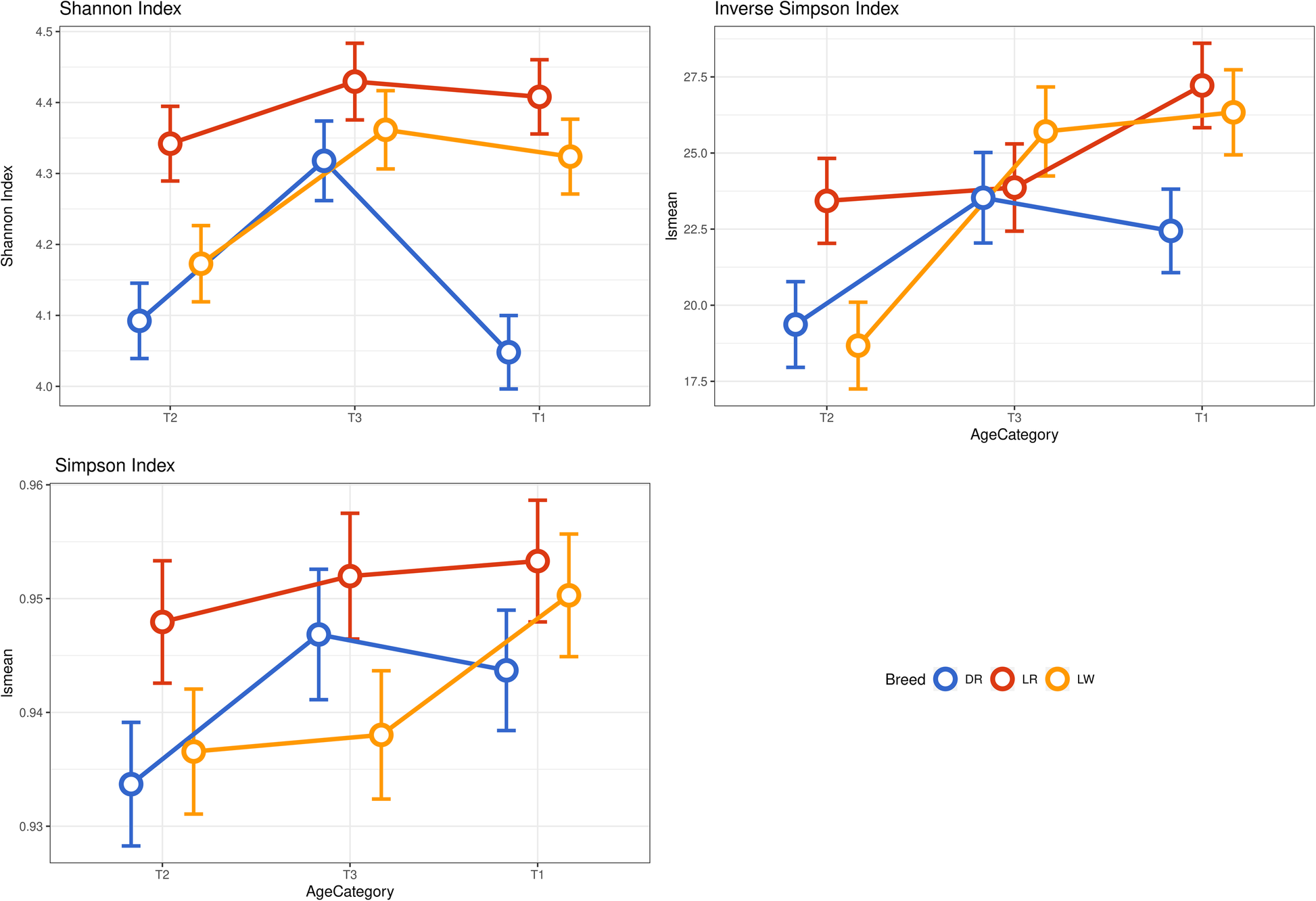
Measurements of fecal microbiome alpha diversity at ASV level using the Shannon, Simpson, and Inverse Simpson indices (least squares means ± confidence interval) in the Duroc (DR), Landrace (LR), and Large White (LW) breeds for three time points 73 days (T1), 123 days (T2), and 158 days (T3) in the growth trial.